Ας δούμε τώρα αν,
πράγματι, η προμήθεια νερού από ιδιώτες κόστισε στην Κοινότητα Κρυονερίου «τα μισά από όσα θα πλήρωνε στην ΕΥΔΑΠ»,
όπως ισχυρίζεται ο κ. Καλαφατέλης.
Αρχικά, με την υπ’ αρ.
302/20-12-2002 απόφαση του Κ.Σ. Κρυονερίου (βλέπετε ανάρτησή μας «ΝΕΡΑ ΤΟΥ
ΚΡΥΟΝΕΡΙΟΥ 9») καθορίστηκε τιμή προμήθειας του νερού αυτή των 0,24 €/μ3.
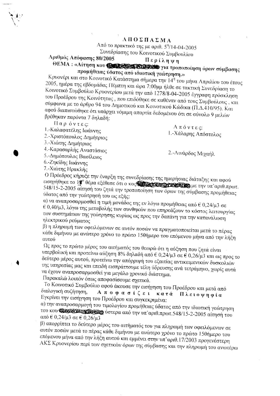
Όπως προκύπτει από την
υπ’ αρ. 80/14-4-2005 απόφαση του Κ.Σ. Κρυονερίου (παρατίθεται ακολούθως), ο
ιδιοκτήτης της γεώτρησης υπέβαλε αίτηση για αναπροσαρμογή της τιμής μονάδος του
νερού από 0,24 €/μ3 σε 0,40 €/μ3, που αντιστοιχεί σε
ποσοστό αύξησης 67% (χωρίς όμως η αναπροσαρμογή αυτή να αποτελεί συμβατικό
όρο).
Ο κ. Καλαφατέλης, ως
εισηγητής του θέματος, πρότεινε «αύξηση
8%, δηλαδή από 0,24 €/μ3 σε 0,26 €/μ3», θεωρώντας για
τον ιδιοκτήτη της γεώτρησης «ότι η αύξηση που ζητά είναι υπερβολική».
Η άνω εισήγηση έγινε
δεκτή κατά πλειοψηφία.
Δεν ψήφισε ο κοινοτικός
σύμβουλος κ. Δημόπουλος, διότι ο ιδιοκτήτης της γεώτρησης δεν είχε προσκομίσει
πιστοποιητικό καταλληλότητας του νερού (όπως είχε συμβατική υποχρέωση), ενώ
υπήρχε και άλλη προσφορά προμήθειας ύδατος. Τα ίδια είχε πει ο κ. Δημόπουλος και
σε προηγούμενη συνεδρίαση του Κ.Σ. (βλέπετε σχετική ανάρτησή μας «ΝΕΡΑ ΤΟΥ
ΚΡΥΟΝΕΡΙΟΥ 8»).
Κατ’ αυτό τον τρόπο
αυξήθηκε αυθαίρετα και αντισυμβατικά η τιμή μονάδος του νερού από 0,24 €/μ3
σε 0,26 €/μ3.
Μετά το υπ’ αρ. πρωτ.
2018/30-5-2005 έγγραφο του κ. Καλαφατέλη (παρατίθεται ακολούθως), η δαπάνη του
ηλεκτρικού ρεύματος της γεώτρησης άρχισε να χρεώνεται (αυθαίρετα και
αντισυμβατικά πάντοτε) σε βάρος της κοινότητας, γεγονός που ανέβασε το κόστος
του νερού σε 0,41 €/μ3 (βλέπετε σχετικά την έκθεση Σκαγιά στην
ανάρτησή μας «ΝΕΡΑ ΤΟΥ ΚΡΥΟΝΕΡΙΟΥ 7»), δηλαδή ακόμη περισσότερο και από όσο
ζητούσε ο ιδιώτης
Από τις 14-4-2005,
ημερομηνία λήψης της υπ’ αρ. 80 ως άνω απόφασης του Κ.Σ. Κρυονερίου, οπότε ο κ.
Καλαφατέλης θεωρούσε την τιμή 0,40 €/μ3 «υπερβολική», εισηγούμενος ως
εύλογη την τιμή 0,26 €/μ3 (η οποία και έγινε αποδεκτή τελικά από το
Κ.Σ.), μέχρι τις 30-5-2015, οπότε ο κ. Καλαφατέλης, ενεργώντας παράνομα,
υπέγραψε το υπ’ αρ. πρωτ. 2018 ως άνω έγγραφο, εκτινάσσοντας ΜΟΝΟΣ ΤΟΥ ΚΑΙ ΕΡΗΜΗΝ ΤΟΥ ΚΟΙΝΟΤΙΚΟΥ ΣΥΜΒΟΥΛΙΟΥ το κόστος του νερού από 0,26
€/μ3 σε 0,41 €/μ3 (ποσοστό αύξησης 58%), μεσολάβησε μόλις ενάμισυς
μήνας.
Αναμένονται απαντήσεις
από πλευράς του κ. Καλαφατέλη για την πιο πάνω τίμια και ηθική κωλοτούμπα.
Ιδού μερικές τέτοιες
πιθανές απαντήσεις:
- «Σύσσωμο το Κοινοτικό Συμβούλιο συμφώνησε και με στήριξε» (στην απόφασή μου να το παρακάμψω και να αυξήσω το κόστος του νερού μόνος μου).
- «Ανάμεσα στο τυπικό» (να φέρω την αύξηση 58% του νερού για έγκριση στο Κοινοτικό Συμβούλιο) «και στο ηθικό» (να προχωρήσω μόνος μου στην αύξηση του νερού), «διάλεξα το δεύτερο» (χαρακτηριστικός τρόπος «οικοδόμησης εμπιστοσύνης» μεταξύ του κοινοτάρχη και των δημοτών της κοινότητάς του).
- «Δεν ήθελα να κρυφτώ πίσω από τη γραφειοκρατία» (κοινοτικά συμβούλια και τα τοιαύτα) «και να νίψω τας χείρας μου, λέγοντας στον κόσμο να περιμένει κάποιους άλλους» (τους κοινοτικούς συμβούλους) «να δώσουν λύση κάποτε».
- «Ρίσκαρα» (αμάρτησα για το Κρυονέρι).
- «Και, όπως έχω ξαναπεί, θα το ξανάκανα» (για το Κρυονέρι, ρε γαμώτο!).
- «Αυτό είναι που δεν καταλαβαίνουν ο κ. Ζαμάνης και οι γραφειοκράτες του» (ότι άμα θέλεις να δώσεις από την πίσω πόρτα στον ιδιώτη περισσότερα ακόμη και απ’ όσα ζήτησε, ενώ λίγο πριν έλεγες δημοσίως ότι αυτός έχει υπερβολικές απαιτήσεις, τότε είναι τίμιο και ηθικό να παρακάμπτεις το Κοινοτικό Συμβούλιο και, με την αποφασιστικότητα του ηγέτη, να κάνεις παιχνίδι μόνος σου).
- « Ίσα ίσα,διαφήμιση μου κάνουν» (όσοι με καταγγέλλουν για την τίμια και ηθική αύξηση του νερού που έκανα «στη ζούλα»)
Η συνέχεια στην επόμενη
ανάρτησή μας «ΝΕΡΑ ΤΟΥ ΚΡΥΟΝΕΡΙΟΥ 14»



Δεν υπάρχουν σχόλια:
Δημοσίευση σχολίου